Circulation  electronic table of contents


Published online before print July 19, 2004, doi:10.1161/01.CIR.0000136808.72912.D9

This Article

Abstract

Full Text (PDF)

All Versions of this Article:
110/4/438    most recent
01.CIR.0000136808.72912.D9v1

Alert me when this article is cited

Alert me if a correction is posted

Citation Map

Services

Email this article to a friend

Similar articles in this journal

Similar articles in PubMed

Alert me to new issues of the journal

Download to citation manager

PubMed

PubMed Citation

Articles by Ward, N. C.

Articles by Croft, K. D.

Related Collections

Other hypertension

Endothelium/vascular type/nitric oxide

(Circulation. 2004;110:438-443.)
© 2004 American Heart Association, Inc.


Original Articles

Urinary 20-Hydroxyeicosatetraenoic Acid Is Associated With Endothelial Dysfunction in Humans

Natalie C. Ward, PhD; Jennifer Rivera, BSc(Hon); Jonathan Hodgson, PhD; Ian B. Puddey, MD; Lawrie J. Beilin, MD; John R. Falck, PhD; Kevin D. Croft, PhD

From the School of Medicine and Pharmacology (N.C.W., J.R., J.H., I.B.P., L.J.B., K.D.C.), University of Western Australia & West Australian Institute of Medical Research, Perth, Australia, and Biochemistry Department (J.R.F.), University of Texas Southwestern Medical Center, Dallas, Tex.

Correspondence to Associate Professor Kevin D Croft, School of Medicine & Pharmacology, Box X2213 GPO, Perth, West Australia 6847. E-mail kcroft@cyllene.uwa.edu.au

Received December 2, 2003; de novo received March 9, 2004; accepted March 30, 2004.


   Abstract
Top
Abstract
Introduction
Methods
Results
Discussion
References

 
Background— 20-Hydroxyeicosatetraenoic acid (20-HETE) is a cytochrome P450 ({omega}-hydroxylase) metabolite of arachidonic acid with vasoconstrictor activity that may be involved in the pathogenesis of hypertension. In humans, there are few data relating 20-HETE to vascular pathophysiology. This study aimed to determine whether urinary 20-HETE excretion is related to blood pressure or vascular endothelial function in humans.

Methods and Results— Sixty-six subjects (37 males, 29 females), including 29 with untreated hypertension, had urinary 20-HETE excretion measured by gas chromatography/mass spectrometry. There was no significant difference for 20-HETE excretion between hypertensive and normotensive subjects. 20-HETE excretion was positively related to body mass index and sodium excretion. There was a significant inverse association between urinary 20-HETE and endothelium-dependent vasodilation measured by flow-mediated dilation of the brachial artery (P=0.006). There was no association with vasodilator responses to nitroglycerin. In multiple regression analysis, 20-HETE remained an independent predictor of endothelium-dependent vasodilation after adjustment for age, body mass index, and blood pressure. When gender was included in the model, the relationship between 20-HETE and flow-mediated dilation was attenuated. Separate analysis by gender revealed that in women, hypertensive subjects had significantly higher 20-HETE excretion than normotensive subjects, but this was not seen in men. In women, 20-HETE was positively related to diastolic and systolic blood pressure. In men, 20-HETE was positively related to body mass index.

Conclusions— This is the first demonstration of an association between 20-HETE excretion and in vivo vascular function in humans. Given the negative modulatory role of nitric oxide on {omega}-hydroxylase, the present results suggest a potentially important role for 20-HETE in human vascular physiology.


Key Words: fatty acids • blood pressure • hypertension • endothelium


   Introduction
Top
Abstract
Introduction
Methods
Results
Discussion
References

 
Arachidonic acid can be metabolized by cytochrome P-450 (CYP450, or CYP) enzymes to a range of compounds. These compounds are thought to play a central role in the regulation of vascular tone, renal function, and blood pressure (BP).1,2 In the vasculature, smooth muscle cells produce 20-hydroxyeicosatetraenoic acid (20-HETE) as a major product of CYP450 metabolism.3 20-HETE causes vasoconstriction by inhibition of potassium (K+) channels and may serve as an endogenous intracellular regulator of the K+ channel in arteriolar smooth muscle cells.4 20-HETE may act as a second messenger mediating the vascular actions of hormones such as endothelin-1 and angiotensin II.5–7 There is evidence that nitric oxide (NO) inhibits the formation of 20-HETE by binding to the catalytic heme site in the CYP450 4A enzyme.8 Indeed, the fall in 20-HETE levels may contribute to the cGMP-independent activation of K+ channels and vasodilator response to NO.9

Flow-mediated vasodilation (FMD) is a physiological mechanism for regulating blood flow and is largely mediated by NO. This endothelium-dependent vasodilation may be impaired (endothelial dysfunction) in cases of vascular disease associated with hypertension or atherosclerosis, possibly owing to reduced bioavailability of NO.10,11 Noninvasive high-resolution ultrasound techniques have been used to measure brachial artery FMD, which reflects endothelium-dependent vasodilation12 and is a possible surrogate for function of the coronary circulation.13,14 On the other hand, in the microcirculation, CYP-derived hyperpolarizing factors may play a greater role than NO in flow-induced endothelium-dependent vasodilation.15 For example, in coronary arterioles from healthy subjects, CYP-dependent factors account for most flow-induced dilatation, with NO playing a minor role.16

Abnormalities in the production or actions of 20-HETE may be involved in the pathogenesis of hypertension. There is convincing evidence in the spontaneously hypertensive rat that increased CYP expression or 20-HETE synthesis is involved in vasoconstriction and impaired renal salt handling.2,17–20 In mice, genetic alteration of CYP450 4A monooxygenase can cause hypertension.21 Little information is available on the involvement of 20-HETE in human hypertension. Recently, Laffer et al22 demonstrated differential regulation of natriuresis by 20-HETE in human salt-sensitive hypertension compared with salt-resistant hypertension; however, there was no difference in 20-HETE excretion between the 2 groups of hypertensive subjects.

One reason for the lack of information linking 20-HETE production to human pathophysiology is the difficulty in measuring endogenous 20-HETE in biological fluids. 20-HETE is excreted in the urine as the glucuronide and can be measured by sensitive and specific gas chromatography mass spectrometric methods after hydrolysis with glucuronidase.23 We were particularly interested in examining potential links between formation of the CYP-derived vasoconstrictor, 20-HETE, and cardiovascular physiology. In the present study, we assessed urinary 20-HETE excretion in a group of healthy normotensive subjects and subjects with untreated hypertension. Although 20-HETE excretion did not differ significantly between normotensive and hypertensive subjects, we observed highly significant associations between 20-HETE excretion, body mass index (BMI), and endothelial function.


   Methods
Top
Abstract
Introduction
Methods
Results
Discussion
References

 
Study Protocol
Thirty-seven normotensive subjects (with a mean 24-hour ambulatory systolic BP =125 mm Hg and a mean daytime ambulatory systolic BP =130 mm Hg) and 29 hypertensive subjects (with a mean 24-hour ambulatory systolic BP =135 mm Hg or a mean daytime ambulatory systolic BP =140 mm Hg) who had never been treated for hypertension were recruited from the Perth general population to the School of Medicine and Pharmacology of the University of Western Australia. The study was approved by the Royal Perth Hospital Human Ethics Committee, and written informed consent was provided before inclusion in the study.

All volunteers were otherwise healthy and ceased any vitamin, antioxidant, or fish oil supplements for a minimum of 4 weeks before study entry. Exclusion criteria included hyperlipidemia, use of lipid-lowering therapy, previous coronary or cerebrovascular event, heart failure, premenopausal status in women, use of oral contraception, use of nitrate medication, smoking, or BMI >35 kg/m2. All volunteers had their height and weight measured, underwent fasting brachial ultrasonography to assess responses to ischemic FMD and nitroglycerin (NTG)-mediated dilation, were fitted with a 24-hour ambulatory BP monitor, and provided a 24-hour urine collection and a fasting blood sample. Urine and plasma samples were stored at –80°C.

24-Hour Ambulatory BP Monitoring
Twenty-four-hour BP monitoring was performed with an ambulatory BP-monitoring device (Spacelabs 90207), set to take oscillometric readings at 20-minute intervals while the subject was awake and 30-minute intervals while the subject was asleep. The monitor was fitted to the nondominant arm {approx}2.5 cm above the antecubital fossa by a trained researcher. Patients rested their arms at heart level, and BP was calibrated against a mercury sphygmomanometer. Patients were instructed to continue their normal routine and maintain a diary throughout their awake hours. A valid 24-hour recording was accepted as a minimum of 80% successful readings with all readings taken during the calibration and any error readings excluded from analysis. Readings were aggregated for each hour, and mean BP was determined for the 24-hour period and for awake and asleep times based on the patient’s diary.

Brachial Artery Ultrasonography
Brachial artery ultrasonography was performed as described previously.24 Briefly, patients were studied after a 12-hour fast and after resting supine in a quiet, temperature-controlled room (21°C to 25°C). A 12-MHz transducer connected to an Acuson Aspen 128 ultrasound (Acuson Corporation) was used, together with continuous ECG monitoring. The ultrasound probe was placed 5 to 10 cm proximal to the antecubital crease on the left arm and held in position on the brachial artery by a clamp. Images were recorded on Super VHS videotape (Sony MQSE 180) for retrospective analysis. A BP cuff was placed around the upper right arm, and an inflatable cuff was placed around the left forearm. After 1 minute of scanning to record the baseline artery diameter, the forearm cuff was rapidly inflated to 200 mm Hg or 50 mm Hg above systolic BP for 5 minutes. Reactive hyperemia was induced by release of the cuff, and scanning was recorded for an additional 4 minutes to assess FMD. Doppler flow velocity and flow rate (mL/min) were calculated during baseline and the first 15 seconds of reactive hyperemia. A second resting baseline scan was obtained at least 10 minutes after cuff deflation. NTG (400 µg) was sprayed sublingually and the artery scanned again for 6 minutes to assess NTG-mediated dilatation. Analysis of FMD and NTG response of the brachial artery was performed with semiautomated edge-detection software.24 The computerized edge-detection and wall-tracking software automatically calculated brachial artery diameter, which corresponded to the internal diameter and was gated to the R wave of the ECG, with measurements taken at end diastole. An experienced observer blinded to the patient’s status performed the analysis. Responses were calculated as the percentage change in brachial artery diameter from baseline at maximum peak time. Reproducibility studies have previously demonstrated an intrasubject coefficient of variation of 14.7% and 17.6% for FMD and NTG response, respectively,24 which is comparable to that observed in other studies.25

Analysis of 20-HETE
Analysis of 20-HETE was performed with stable isotope dilution gas chromatography/mass spectrometry as previously described in detail.26 Briefly, deuterated 20-HETE (2 ng, internal standard) was added to 2 mL of freshly thawed urine. After incubation with Escherichia coli ß-glucuronidase (0.2 mg, 2 hours at 37°C), the sample was diluted with 2 mL of 0.1 mol/L sodium acetate buffer containing 5% methanol, and the pH was adjusted with 10% acetic acid to pH 6. 20-HETE was extracted with a Bond Elut-Certify II column (Varian) and further purified by high-performance liquid chromatography. The pentafluorobenzyl ester and tert-butyldimethylsilyl derivatives were prepared and analysis by negative chemical ionization gas chromatography/mass spectrometry, monitoring ions m/z 433 and m/z 435 (internal standard).

Biochemistry
Twenty-four hour urinary sodium was analyzed with an ion-selective electrode unit and serum and urinary creatinine with a standard kinetic colorimetric assay in the Department of Clinical Biochemistry at Royal Perth Hospital. Fasting plasma and 24-hour urine were analyzed for total NO production (nitrate plus nitrite) with a colorimetric assay kit (Cayman).

Statistical Analysis
Statistical analysis was performed with the Statistical Package for the Social Sciences (SPSS version 11.5). Nonnormally distributed data were log-transformed. Results are presented as mean±SEM or geometric mean (95% CIs) for nonparametric data. Independent-sample t tests were used to determine differences between the 2 groups. Univariate ANOVA was used to determine differences. The relationship between FMD response and 20-HETE levels was determined before and after adjustment for age, BMI, and mean 24-hour systolic BP.


   Results
Top
Abstract
Introduction
Methods
Results
Discussion
References

 
Subject Characteristics
Subjects had a mean age in the mid-50s, and men predominated in the untreated hypertensive group (Table 1). Mean 24-hour ambulatory systolic and diastolic BPs were significantly different between the 2 groups (P<0.001). All hypertensive subjects had BPs greater than the threshold guidelines suggested for the definition of hypertension using 24-hour ambulatory BP monitoring.27 There was no significant difference between the 2 groups for age, BMI, urinary sodium excretion, creatinine clearance, or total plasma or urinary NO production.


View this table:
[in this window]
[in a new window]
 

TABLE 1. Patient Characteristics

Urinary 20-HETE and Correlations With Clinical Variables and Vascular Function
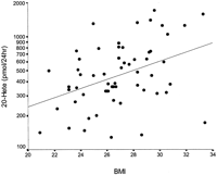
There was no significant difference between hypertensive subjects and normotensive controls for 20-HETE excretion expressed either in concentration (pmol/L) or per 24-hour period (pmol/24 h; Table 1). In the whole group, there was no significant relationship between urinary 20-HETE excretion (pmol/24 h) and ambulatory BP. There was a significant positive relationship between 20-HETE excretion and BMI (r=0.419, P<0.0001; Figure 1). Urinary sodium excretion appeared to be positively related to 20-HETE (pmol/24 h; b=0.99); however, this did not reach statistical significance (P=0.08; Table 2).



View larger version (13K):
[in this window]
[in a new window]
 

Figure 1. Correlation of BMI (kg/m2) with urinary 20-HETE excretion in all subjects (n=66). Spearman correlation coefficient r=0.419 (P<0.0001).


View this table:
[in this window]
[in a new window]
 

TABLE 2. Univariate Relationships With 20-HETE as the Dependent Variable, Analyzed by Linear Regression

There was no significant difference for baseline brachial artery diameter between the hypertensive subjects and controls. There was a significant negative relationship between 20-HETE excretion rate (pmol/24 h) and FMD response (r=–0.331, P=0.007; Figure 2). There was no significant relationship between urinary 20-HETE and NTG response (Table 2). Subjects with an FMD response <5% had significantly greater 20-HETE excretion than those with FMD response >5% (P<0.001; Figure 3). There was a significant positive relationship between 20-HETE (pmol/24 h) and artery diameter (Table 2). A scatterplot of this relationship is illustrated in Figure 4. Removal of the participant with a brachial artery diameter of 0.9 mm did not alter the significance of this relationship (P<0.01).



View larger version (14K):
[in this window]
[in a new window]
 

Figure 2. Correlation of percent change in FMD of brachial artery with urinary 20-HETE excretion in all subjects (n=66). Spearman correlation coefficient r=–0.331 (P=0.007).



View larger version (14K):
[in this window]
[in a new window]
 

Figure 3. Urinary excretion of 20-HETE in all subjects with FMD response of either <5% (n =22) or >5% (n =43) irrespective of BP. Results are expressed as geometric mean (95% CIs). *Significant difference in 20-HETE excretion, P=0.001.



View larger version (15K):
[in this window]
[in a new window]
 

Figure 4. Correlation of brachial artery diameter with urinary 20-HETE excretion in all subjects (n=66). Spearman correlation coefficient r=0.328 (P=0.008).

In multiple regression analysis, after adjustment for age, BMI, and mean 24-hour systolic BP, 20-HETE (pmol/24 h) remained an independent predictor of FMD response (P=0.01). However, the further addition of gender to the model resulted in a loss of statistical significance (P=0.065).

Subjects were then analyzed separately by gender. Overall, men had significantly higher levels of 20-HETE than women (mean [95% CI] 528 [413–675] versus 338 [279–409] pmol/24 h; P=0.007). In men, there was no significant difference in 20-HETE excretion between untreated hypertensive subjects and controls. However, in women, untreated hypertensive subjects had higher 20-HETE excretion than normotensive controls (448 [280–716] versus 298 [247–360] pmol/24 h; P=0.041). In men, there was no significant relationship between 20-HETE excretion and systolic or diastolic BP (Table 3). BMI was positively associated with 20-HETE excretion (P=0.002; Table 3) in men. In women, both 24-hour diastolic BP (P=0.005) and systolic BP (P=0.025) were positively associated with 20-HETE excretion (Table 3). FMD response was negatively associated with 20-HETE excretion in women and men, but this trend was not statistically significant (Table 3).


View this table:
[in this window]
[in a new window]
 

TABLE 3. Univariate Relationships With 20-HETE (pmol/24 h) as the Dependent Variable, Within Each Gender, Analyzed by Linear Regression


   Discussion
Top
Abstract
Introduction
Methods
Results
Discussion
References

 
This study is the first demonstration of a significant association between 20-HETE excretion and endothelial function as assessed by FMD of the brachial artery in humans. There was, however, no difference in the excretion of 20-HETE between untreated hypertensive subjects and normotensive subjects. 24-Hour excretion of 20-HETE was not related to BP in the whole group but was positively associated with BMI. A particular strength of the present study was that all hypertensive subjects were untreated, which avoided any possible confounding effects of antihypertensive therapy.

From extrapolation of results from animal studies, we had hypothesized that urinary excretion of 20-HETE would be higher in hypertensive subjects than in normotensive controls. A recent study performed in salt-sensitive and salt-resistant hypertensive subjects observed a positive correlation between 20-HETE excretion and diastolic BP, but only in salt-sensitive hypertensive subjects during salt loading.22 This relationship between 20-HETE and BP was not observed during the salt-depletion period or in the salt-resistant hypertensive subjects, which suggests that 20-HETE excretion is regulated by salt intake during hypertension.22 In the study by Laffer et al,22 no comparison was made with normotensive subjects, and 20-HETE excretion did not differ between the salt-sensitive and salt-resistant subjects. In subjects in the present study, there was a trend for a correlation between sodium excretion and 20-HETE, which supports the suggestion that 20-HETE causes natriuresis.1,27 In the relatively young (53±2 years) untreated hypertensive subjects in the present study, sodium excretion and creatinine clearance were not different from that in normotensive subjects, which may in part explain the lack of difference in excretion of 20-HETE.

The most striking finding of the present study was the highly significant association between 20-HETE excretion and FMD response of the brachial artery. This remained significant after adjustment for age, BMI, and mean systolic BP. To the best of our knowledge, this is the first study to demonstrate this relationship in humans. 20-HETE excretion was much higher in subjects with a low FMD response (<5%) than in those with a normal FMD response, irrespective of their BP. Because individuals with a large baseline artery diameter subsequently have a lower FMD response, the positive relationship between 20-HETE levels and artery diameter may be influencing the relationship between 20-HETE levels and FMD response. The relationship between 20-HETE and FMD response must therefore be interpreted with caution, and it is not unreasonable to speculate that 20-HETE may be influencing vascular architecture rather than brachial artery dilation. However, the positive association between 20-HETE and brachial artery diameter is perhaps unexpected if it is assumed that 20-HETE acts as a vasoconstrictor. 20-HETE is produced in vascular smooth muscle cells and is thought to play a role in regulating vascular tone.4 The observed association between 20-HETE and FMD response is consistent with 20-HETE being a vasoconstrictor that may be upregulated in situations of low NO bioavailability, as seen in endothelial dysfunction.10,11,28 Although total NO production in the present study was not different between hypertensive individuals and controls, and there was no relationship with 20-HETE, this does not rule out the possibility that 20-HETE acts as a vasoconstrictor.

Interestingly, addition of gender to the regression model attenuated the negative relationship between 20-HETE excretion and FMD response. Furthermore, when the results were analyzed separately by gender, different relationships with 20-HETE were observed. Previous studies in rats have suggested a link between 20-HETE production and androgens.29 In the present study, we observed overall increased levels of 20-HETE in men compared with women, which lends support to the animal model. FMD response, although it showed the same negative association with 20-HETE in both men and women, was no longer significant, possibly owing to the smaller group sizes. In addition, hypertensive women had higher 20-HETE excretion than normotensive women, and within women, a positive association between 20-HETE and BP was noted. Although limited by the small number of women, these results do support the role for sex-dependent mechanisms in the pathogenesis of hypertension,30 possibly via androgen-mediated regulation of CYP450.29 In future studies, it would be very interesting to determine 20-HETE excretion in premenopausal women.

It is also intriguing that we observed a significant positive association between 20-HETE excretion and BMI. In men, BMI was the strongest factor associated with 20-HETE excretion. Although this finding is in contrast to the study by Laffer et al,22 which observed a negative correlation between 20-HETE excretion and BMI in salt-sensitive hypertensive subjects (n =13, mean BMI 35.5 kg/m2), the present study excluded subjects with BMI >35 kg/m2. Obesity has been linked with insulin resistance31 and increased oxidative stress.32 If increases in reactive oxygen species can reduce NO bioavailability, then this may be one mechanism for increased 20-HETE production with increasing BMI. However, this proposal is not supported by studies in the Dahl salt-sensitive rat that show that scavenging reactive oxygen species with Tempol actually increases 20-HETE excretion.33

We know that 20-HETE is synthesized in the kidney27,34 and excreted in the urine as the glucuronide.23 However, it is uncertain what the contribution of systemic vascular production of 20-HETE is to the total urinary 20-HETE concentration. Although much of the urinary 20-HETE may be of renal origin, it may also reflect CYP450 metabolism of arachidonic acid to this metabolite at other vascular sites. These results support the concept for a role of 20-HETE in vascular function and BP regulation in humans. An important follow-up to this study would be to investigate the effects of intervention with agents such as vitamin C, which may improve endothelial function, or agents that inhibit CYP450 activity and determine subsequent changes in 20-HETE excretion. However, such mechanistic studies are limited by the current lack of specific CYP450 inhibitors that are suitable for use in humans.


   Acknowledgments

 
This study was funded by grants from the National Health and Medical Research Council of Australia (project grant 139067), Centres for Excellence in Clinical Research, and National Institutes of Health grant GM31278 to Dr Falck. Natalie Ward acknowledges the assistance of a University of Western Australia Postgraduate Award. The authors thank Lisa Rich for performance and analysis of ultrasounds and the volunteers who took part in the study.


   References
Top
Abstract
Introduction
Methods
Results
Discussion
References

 

  1. Roman RJ. P-450 metabolites of arachidonic acid in the control of cardiovascular function. Physiol Rev. 2002; 82: 131–185.[Abstract/Free Full Text]

  1. McGiff JC, Quilley J. 20-Hydroxyeicosatetraenoic acid and epoxyeicosatrienoic acids and blood pressure. Curr Opin Nephrol Hypertens. 2001; 10: 231–237.[CrossRef][Medline]

  1. Imig JD, Zou AP, Stec DE, et al. Formation and actions of 20-hydroxyeicosatetraenoic acid in rat renal arterioles. Am J Physiol. 1996; 270: R217–R227.[Medline]

  1. Roman RJ. Does 20-HETE mediate the cGMP independent actions of NO? High Blood Pressure Res Newsletter. 1999;Fall: 20–22.

  1. Hercule HC, Oyekan AO. Cytochrome P450 omega/omega-1 hydroxylase-derived eicosanoids contribute to endothelin(A) and endothelin(B) receptor-mediated vasoconstriction to endothelin-1 in the rat preglomerular arteriole. J Pharmacol Exp Ther. 2000; 292: 1153–1160.[Abstract/Free Full Text]

  1. Croft KD, McGiff JC, Sanchez-Mendoza A, et al. Angiotensin II releases 20-HETE from rat renal microvessels. Am J Physiol. 2000; 279: F544–F551.

  1. Chu ZM, Croft KD, Kingsbury DA, et al. Cytochrome P450 metabolites of arachidonic acid may be important mediators in angiotensin II-induced vasoconstriction in the rat mesentery in vivo. Clin Sci. 2000; 98: 277–282.[CrossRef][Medline]

  1. Sun CW, Alonso-Galicia M, Taheri MR, et al. Nitric oxide-20-hydroxyeicosatetraenoic acid interaction in the regulation of K+ channel activity and vascular tone in renal arterioles. Circ Res. 1998; 83: 1069–1079.[Abstract/Free Full Text]

  1. Alonso-Galicia M, Drummond HA, Reddy KK, et al. Inhibition of 20-HETE production contributes to the vascular responses to nitric oxide. Hypertension. 1997; 29: 320–325.[Abstract/Free Full Text]

  1. Celermajer DS, Sorensen KE, Bull C, et al. Endothelium-dependent dilation in the systemic arteries of asymptomatic subjects relates to coronary risk factors and their interaction. J Am Coll Cardiol. 1994; 24: 1468–1474.[Medline]

  1. Taddei S, Virdis A, Ghiadoni L, et al. Endothelial dysfunction in hypertension. J Cardiovasc Pharmacol. 2001; 38 (suppl 2): S11–S14.[CrossRef][Medline]

  1. Celermajer DS, Sorensen KE, Gooch VM, et al. Non-invasive detection of endothelial dysfunction in children and adults at risk of atherosclerosis. Lancet. 1992; 340: 1111–1115.[Medline]

  1. Anderson TJ, Uehata A, Gerhard MD, et al. Close relation of endothelial function in the human coronary and peripheral circulations. J Am Coll Cardiol. 1995; 26: 1235–1241.[CrossRef][Medline]

  1. Vita JA, Keaney JF Jr. Endothelial function: a barometer for cardiovascular risk? Circulation. 2002; 106: 640–642.[Free Full Text]

  1. Fleming I. Cytochrome p450 and vascular homeostasis. Circ Res. 2001; 89: 753–762.[Abstract/Free Full Text]

  1. Miura H, Wachtel RE, Liu Y, et al. Flow-induced dilation of human coronary arterioles: important role of Ca+2 activated K+ channels. Circulation. 2001; 103: 1992–1998.[Abstract/Free Full Text]

  1. Levere RD, Martasek P, Escalante B, et al. Effect of heme arginate administration on blood pressure in spontaneously hypertensive rats. J Clin Invest. 1990; 86: 213–219.[Medline]

  1. Sacerdoti D, Balazy M, Angeli P, et al. Eicosanoid excretion in hepatic cirrhosis. J Clin Invest. 1997; 100: 1264–1270.[Abstract/Free Full Text]

  1. Su P, Kaushal KM, Kroetz DL. Inhibition of renal arachidonic acid omega-hydroxylase activity with ABT reduces blood pressure in the SHR. Am J Physiol. 1998; 275: R426–R438.[Medline]

  1. Wang MH, Zhang F, Marji J, et al. CYP4A1 antisense oligonucleotide reduces mesenteric vascular reactivity and blood pressure in SHR. Am J Physiol. 2001; 280: R255–R261.

  1. Holla VR, Adas F, Imig JD, et al. Alterations in the regulation of androgen-sensitive Cyp 4a monooxygenases cause hypertension. Proc Natl Acad Sci U S A. 2001; 98: 5211–5216.[Abstract/Free Full Text]

  1. Laffer CL, Laniado-Schwartzman M, Wang M, et al. Differential regulation of natriuresis by 20-hydroxyeicosatetraenoic acid in human salt-sensitive versus salt-resistant hypertension. Circulation. 2003; 107: 574–578.[Abstract/Free Full Text]

  1. Prakash C, Zhang JY, Falck JR, et al. 20-Hydroxyeicosatetraenoic acid is excreted as a glucuronide conjugate in human urine. Biochem Biophys Res Commun. 1992; 185: 728–733.[Medline]

  1. Dogra G, Rich L, Stanton K, et al. Endothelium-dependent and independent vasodilation studies at normoglycaemia in type I diabetes mellitus with and without microalbuminuria. Diabetologia. 2001; 44: 593–601.[CrossRef][Medline]

  1. Ghiadoni L, Magagna A, Versari D, et al. Different effect of antihypertensive drugs on conduit artery endothelial function. Hypertension. 2003; 41: 1281–1286.[Abstract/Free Full Text]

  1. Rivera J, Ward N, Hodgson J, et al. Measurement of 20-HETE in human urine using gas chromatography mass spectrometry. Clin Chem. 2004; 50: 224–226.[Free Full Text]

  1. Lasker JM, Chen WB, Wolf I, et al. Formation of 20-hydroxyeicosatetraenoic acid, a vasoactive and natriuretic eicosanoid, in human kidney: role of Cyp4F2 and Cyp4A11. J Biol Chem. 2000; 275: 4118–4126.[Abstract/Free Full Text]

  1. De Caterina R. Endothelial dysfunctions: common denominators in vascular disease. Curr Opin Lipidol. 2000; 11: 9–23.[CrossRef][Medline]

  1. Nakagawa K, Marji JS, Schwartzman ML, et al. Androgen-mediated induction of the kidney arachidonate hydroxylases is associated with the development of hypertension. Am J Physiol. 2003; 284: R1055–R1062.

  1. Reckelhoff JF. Gender differences in the regulation of blood pressure. Hypertension. 2001; 37: 1199–1208.[Abstract/Free Full Text]

  1. Baron AD. Impaired glucose tolerance as a disease. Am J Cardiol. 2001; 88: 16H–19H.[Medline]

  1. Keaney JF Jr, Larson MG, Vasan RS, et al. Obesity and systemic oxidative stress: clinical correlates of oxidative stress in the Framingham Study. Arterioscler Thromb Vasc Biol. 2003; 23: 434–439.[Abstract/Free Full Text]

  1. Hoagland KM, Maier KG, Roman RJ. Contributions of 20-HETE to the antihypertensive effects of Tempol in Dahl salt-sensitive rats. Hypertens. 2003; 41: 697–702.[Abstract/Free Full Text]

  1. Schwartzman ML, Martasek P, Rios AR, et al. Cytochrome P450-dependent arachidonic acid metabolism in human kidney. Kidney Int. 1990; 37: 94–99.[Medline]




This Article

Abstract

Full Text (PDF)

All Versions of this Article:
110/4/438    most recent
01.CIR.0000136808.72912.D9v1

Alert me when this article is cited

Alert me if a correction is posted

Citation Map

Services

Email this article to a friend

Similar articles in this journal

Similar articles in PubMed

Alert me to new issues of the journal

Download to citation manager

PubMed Citation

Articles by Ward, N. C.

Articles by Croft, K. D.

Related Collections

Other hypertension

Endothelium/vascular type/nitric oxide



HOME

HELP

FEEDBACK

SUBSCRIPTIONS

ARCHIVE

SEARCH

TABLE OF CONTENTS

 

CIRCULATION

ART, THRO, VASC BIO

ALL AHA JOURNALS

CIRCULATION RESEARCH

HYPERTENSION

STROKE